道光皇帝:清朝的最后辉煌与无奈,历史的转折点
2025-12-06 05:52:50
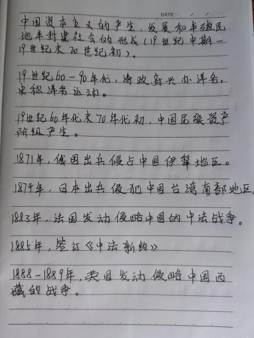
识记中国历史近代史大事年表
1842年签订的《南京条约》及其附件的主要内容包括:
①中国割让香港岛给英国;
②中国开放广州、厦门、福州、宁波、上海等五处为通商口岸,规定“值百抽五”的低税率,废除“公行”制度;
③中国赔偿英国款项总计2100万银元,其中600万银元赔偿被焚鸦片;
④中英协定关税;
⑤领事裁判权;
⑥片面最惠国待遇;
⑦居住及租地权。

亚罗号事件(the Arrow Incident)是中国近代时期英国一系列粗暴践踏中国主权和损害中国管辖权事件中的一个,发生于1856年10月8日。
亚罗号事件是由于1853年英美等国向中国提出“修约”交涉遭到拒绝,随后英国侵略者便制造“亚罗号事件”,此事件其实质是第二次鸦片战争的导火索。
马神甫事件又称“西林教案”,是法国发动第二次鸦片战争的借口之一。1853年(清咸丰三年)法国天主教神甫马赖非法潜入我国广西西林县,披着宗教外衣,进行侵略活动。1856年(清咸丰六年),西林知县张鸣凤根据村民控呈,调查据实后,将马赖及不法教徒共26人逮捕归案,依法判处马赖及不法教徒2人死刑,其余分别论罪处罚。法国政府,借口挑起侵华战争。1857年联合英国出兵侵华。

1858年《天津条约》的主要内容包括:
①外国公使常驻北京;
②增开牛庄(后改营口)、邓州(后改烟台)、台湾(后改台南)、淡水、琼州、汉口、九江、南京等为通商口岸,修改税则,减轻商船吨税;
③外国人可自由进入内地游历、通商、传教;
④分别赔偿英、法白银400万两、200万两;
⑤中俄两国派人勘查以前未经定明的边界;
⑥扩大最惠国待遇等。同时,俄国用武力强迫签订了中俄《瑷珲条约》,割占了中国外兴安岭以南,黑龙江以北60多万平方公里的领土。
1860年《北京条约》主要内容包括:①承认《天津条约》有效,并开放天津为商埠;
②准许华工出国做工;
③割九龙给英国;
④将《天津条约》中的对英法的赔款各增加为800万两。
中俄《北京条约》强迫中国割占乌苏里江以东,包括库页岛在内的40万平方公里领土给俄国。
1842年,英国强迫清政府签订《南京条约》,把香港岛割让给英国;1860年,又通过中英《北京条约》,割去香港对岸九龙半岛南端和昂船洲。1849年,葡萄牙武力抢占澳门半岛;1887年,胁迫清政府订立《中葡和好通商条约》,允许葡萄牙“永居管理澳门”。1858年,俄国胁迫黑龙江将军奕山签订《瑷珲条约》,割去黑龙江以北60万平方公里领土;1860年,通过签订中俄《北京条约》,割去乌苏里江以东40万平方公里领土;1864年,又强迫清政府签订《勘分西北界约记》,割去中国西北44万平方公里领土。1895年,日本强迫清政府签订《马关条约》,割去中国台湾全岛及所有附属各岛屿和澎湖列岛。
1898年,德国强租胶州湾,把山东划分为势力范围;沙俄强租辽东半岛的旅顺口、大连湾及其附近海面,以长城以北为其势力范围;英国强租山东的威海卫和香港岛对岸的九龙半岛界限街以北、深圳河以南及附近的岛屿,以长江流域为其势力范围;法国强租广州湾及其附近水面,把广东、广西、云南作为其势力范围。
记录此刻学习历史的阿僊僊,有点懵当中…[送自己一朵花][送自己一朵花][送自己一朵花]
2025-12-06 05:52:50
2025-12-06 05:50:35
2025-12-06 05:48:20
2025-12-06 05:46:05
2025-12-06 05:43:51
2025-12-06 05:41:36
2025-12-06 05:39:21
2025-12-04 14:44:44
2025-12-04 14:42:29
2025-12-04 14:40:14
2025-12-04 14:37:59
2025-12-04 14:35:45
2025-12-04 14:33:30
2025-12-04 14:31:15
2025-12-04 14:29:00
2025-12-04 14:24:31
2025-12-04 14:21:30
2025-12-04 14:19:15
2025-12-04 14:17:00