当前存在的几大社会问题
2026-01-10 20:04:02
民国大咖——刘半农的朋友圈(三)——胡适和刘半农
原创 沐晖堂博古 今天
胡适(1891——1962年):字适之,著名思想家、文学家、哲学家。以倡导白话文、领导新文化运动闻名于世。(照片一)

照片一:青年胡适

照片二:刘半农于民十四年的巴黎大学博士论文答辩时拍摄
胡适与刘半农同庚,都是属兔,北大当时有“卯”字号名人的典故:两只大兔子和三只小兔子,而三只小兔子就是指胡适、刘半农和刘文典,陈独秀则是大兔子之一,故而胡适称当时的北大教师宿舍为“兔窟”。胡、刘既是同年,又是同年进入北大任教,还同处文学革命的阵营,但背景却如天壤之别:胡适是美国哥伦比亚大学的博士,而刘半农则是常州府中学的高中肄业生;胡在美国攻读了七年学业,而半农在上海卖文五年。当两人第一次走到一起时,对胡博士而言,自然充满着疑惑和轻视,至少说诸如其他同事:鲁迅、周作人、钱玄同、三沈二马等,要么有海外留学经历,抑或兼有国学大师门生这样的光环,而刘半农则啥也不是!这种不屑并不因为同处革命阵营而得到丝毫的收敛,反而转变成言辞上的冷嘲热讽,使得半农如坐针毡、不得安心。
《新青年》杂志随着陈独秀进入了北大,成为了为新文化革命摇旗呐喊的一面旗帜。大家轮流做主编,一人一期。轮到沈尹默时,因眼睛不好,总是委托刘半农、钱玄同来帮他编辑。而这两位是激进分子,“双簧信”由此而出炉。本来胡适就不愿让刘半农来参与编辑《新青年》杂志,觉得他“不够格”,而这次“双簧信”事件又挑起了争端,并且胡适还认为采用这种手段极不光彩,因此对半农颇有微词。其实对于当时文学革命新、旧两派之争,保守派早就达成了默契,就是不予理睬、任凭你闹、保持沉默。如果革命派还是采取绅士风度、彬彬有礼的斗争策略,这场轰轰烈烈的文学革命似乎要偃旗息鼓了。“双簧信”事件,终于打破了平静,守旧派掉进了坑里,双方再度掀起了激烈的争辩。虽说手段稍有欠妥,但效果却是极佳,许多青年因此而选择了新文化的阵营。刘半农也毫不客气的将陈独秀、胡适、钱玄同和自己称为新文化运动的“四大台柱”。最近热播的电视剧《觉醒时代》,在这段情节的演绎上,做的细致入微,贴近史实,可见编剧对这段历史做过深入的研究了。
“五四运动”之后,说来也巧,北大开始为教员提供公费留学的机会,但是必须经过考试而获得名额,刘半农就此顺利的获得了出国深造的机会,并于民九年年初,携妻女赴英国伦敦大学就读。他的留洋很重要的因素是来自于胡适等人对他的轻视,因此当获得法国国家文学博士的刘半农(照片二),回到北大后,北大的同人有“胡适的博士是主动的。刘半农的博士是被动的”之说,也就是大家都知道刘半农的博士是被胡适等人“逼着去拿到的”。
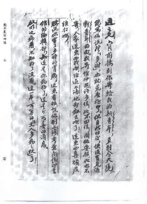
胡、刘二人,民六年同进北大,至二十三年刘去世,相交了十七年,虽期间有半农五年多的留学生涯,但即使是相隔万里,两人还是以通信的方式进行交流。《胡适遗稿及密藏书信》中载有刘半农致胡适的四通信,分别写于“五•四运动”期间、留学欧洲(照片三)以及民二十二年三个时期。另外刘小惠著《父亲刘半农》一书中,也收录了一通刘半农致胡适的信,同样也是写于留学期间,从这些信中可以看出,半农虽身处他乡,却一直关心着国内新文化运动的动向,与胡适谈论诗歌的创作等,其实随着两人交往的加深,彼此的嫌隙已经不再,相反更多的是理解和支持。胡适对刘半农发表文章中的一些错误,会通过写信的方式暗中提醒,而同样的情况,鲁迅却采取了公开发文的方式予以纠正,故而刘半农自然就接近胡适而疏远鲁迅了。

照片三:刘半农留学期间致胡适的信
若论起对刘半农的了解,胡适是最有话语权的人之一。他自担任北大文学院院长之后一直是刘半年的领导与同事,许多工作安排及计划都是由他来制定和审核,因此他最了解刘半年在北大研究教授以及研究院文史部主任岗位上的具体工作,甚至于他的为人、性格也都是相当熟知的。若论两人私交,《胡适日记》民二十三年7月14日条就可说明一切,这是刘半农在世的最后一天,胡适先生已经尽力了!在《胡适日记》中专门有一段是胡适论述刘半年的文字,这段文字出自日记当中而非公开发表的纪念文章,这就排除了溢美之嫌,日记的隐秘性决定了这段文字是最为客观和公正的:“一九三四年的回忆:…刘半年之死,是很可惜的,半农的早年训练太不好,半途出家,努力做学问,总算是很有成绩的。他的风格(taste)不高,有时不免有低级风趣,而不自觉。他努力做雅事,而人但觉更俗气。但他是一个时时刻刻有长进的人,其努力不断最不易得。一个“勤”字足盖百种短处…”(照片四)

照片四:胡适撰刘半农“乙二推断尺”碑拓本,该碑竖立于刘半农墓前

照片四:刘半农发明并制作的的语音实验仪器——“乙二声调推断尺(江阴博物馆藏品)
这种论述可以代表当时一部分同人对刘半农的认知,实际上鲁迅《忆刘半农君》一文中也认为刘半农是“浅”,两者其实意思是相近的。从上述这段文字中可以看出,胡适对刘半农的去世是很难过的,并且发至内心的对他所取得的成就表示了肯定,正是因为这种勤奋才会改变胡适以往的偏见,转而成为相互尊重、相互理解的好友兼同事关系了。
反观之刘半农对胡适的态度,在此也引用一段刘半农自己的话来概述:《刘半农日记》民二十三年3月8日条:“…£□来谈,曾言及适之为人阴险,余与适之相交十五年以上,知其人倔强自用则有之,指为阴险,当是£□挑拨之言…”。胡适是坦荡的,这是刘半农对老友最坚定的支持和肯定。
此次整理出胡适的两通信札,其中一通缺了上半部分,当另有受信之人。此信并非胡适直接写给刘半农,应当是受信人将此信后半部分重新抄录后交于马衡、刘半农、沈兼士传阅,最终留在刘半农处,故由刘最终保存下来。经过研究后,确认了陈垣致刘半农的一通信与此有关,因此此信为陈垣抄录了胡适的信并转交给刘半农的。信中所述之事与《胡适日记》民二十一年1月21日条的记载相吻合。(照片五)

照片五:陈垣抄录胡适信札转致刘半农收藏
另外一通是胡适写给刘半农的,信中所说的张女士已无从查考。《胡适日记》中也未见详细记录,查民二十年5月8日条,有记录应与此事合,日记中提到“C.N来我家…”,C.N应该是张女士的代称。刘半农是民十九年5月5日就任北平大学女子文理学院院长一职,次年6月20日主动辞去该职务。此信正写于他担任院长一职期间,故而信中称半农为“院长”,胡的语气并未觉得有恳求之意,而更像是朋友间的嘱托,并捎带有滑头气。(照片六)

照片六:胡适致刘半农书信
附胡适致刘半农信札第二通识读:
半农兄:
张女士的事,我没有法子可想。还请
老兄念同乡之雅,给她找一件小事。此人
曾经过不少困苦,所望应不奢。院长之
门,饭碗满天飞,应该有一只可以给她吧?
弟 适。
廿,三,一。
2026-01-10 20:04:02
2026-01-10 20:01:47
2026-01-10 19:59:33
2026-01-10 19:57:19
2026-01-10 19:55:04
2026-01-10 19:52:50
2026-01-10 19:50:36
2026-01-10 19:48:21
2026-01-10 19:46:07
2026-01-10 19:43:53
2026-01-10 19:41:38
2026-01-10 19:39:24
2026-01-10 19:37:10
2026-01-10 19:34:55
2026-01-10 19:32:41
2026-01-10 19:30:26
2026-01-10 04:50:16
2026-01-10 04:48:02
2026-01-10 04:45:48
2026-01-10 04:43:33